Các Thành Tựu Di Truyền Học Trên Gia Cầm
Đối với gà thịt có bộ lông trắng hoặc sáng màu để khi giết thịt Người ta dễ dàng làm sạch lông. Gà có lông màu sẫm hoặc đen thường để lại gốc lông với sắc tố đen trên da làm thân thịt không đẹp, giảm sự hấp dẫn của sản phẩm thịt. Chính vì vậy, khi tạo các tổ hợp lai chuyên thịt người ta thường tạo ra gà có lông trắng hoặc vàng sáng.
Màu lông liên kết giới tính được ứng dụng nhiều trong công tác giống khi lai tạo gà chuyên trứng và chuyên thịt lông màu. Gen s (lặn) quy định màu lông nâu, gen S (trội) quy định màu lông trắng, nằm trên NST giới tính Z. Thường chọn gà trống bố ZsZs (nâu) cho phối với mái mẹ ZSW (trắng) cho ra đàn con khi mới nở có gà trống lông trắng (loại bỏ ngay) và gà mái lông nâu.
Cha ZsZs (nâu) x mái mẹ ZSW (trắng)
Giao tử Zs ZS, W
Con thương phẩm gà trống Zs ZS (trắng) gà mái ZsW (nâu)
Gà trống nâu hoặc nâu đỏ là từ những giống như new hampshire, rhod island đỏ và leghorn nâu. Gà mái trắng từ những giống như: susex, viandot và dorking.
Bố lông đen cho phối với mái mẹ sọc trắng đen sẽ cho con mái đen và gà trống đen với chấm trắng sáng trên đầu như ở giống Bovan Nera.
b. Màu da thân và da chân
Màu da và màu da chân thường do phức hợp sắc tố của lớp dưới da quyết định. Màu chân đen hay màu xám là do sự xuất hiện của sắc tố melanin trong lớp mô dưới da quy định, còn lớp biểu bì không chứa sắc tố. Nếu trong lớp mô dưới da không chứa sắc tố melanin thì da và chân màu trắng, nếu chứa sắc tố carotenoid thì màu da và màu chân vàng. Theo thị hiếu của đa số người tiêu dùng thì màu da và chân vàng đượcưa chuộng hơn cả. Tuy nhiên, một số địa phương như ở Trung Quốc, Nhật Bản Người ta thích ăn thịt gà có chân màu đen hoặc xám. Màu vàng của da và chân gà thường được sử dụng như một chỉ tiêu đánh giá chất lượng thịt.
c. Tốc độ mọc lông
Tính trạng mọc lông nhanh sẽ nhận thuận lợi cho việ rút ngắn thời gian nuôi gà thịt broiler. Khi giết thịt ở lứa tuổi sớm, gia cầm sẽ có ít lông măng, gốc lông trưởng thành khô, không để lại những lỗ lớn.
Gen quy định tính trạng mọc lông nhanh (k) nằm trên NST giới tính Z là gen lặn thường được sử dụng nhiều trong công tác giống để tạo ra tổ hợp lai broiler thương phẩm. Có thể phân biệt trống mái qua tốc độ mọc lông cánh sơ cấp ngay từ khi mới nở. Khi chọn tổ hợp lai giữa gà trống bố mang gen kk (lặn), mọc lông cánh nhanh và gà mái mẹ mang gen KW, mọc lông cánh chậm (K là gen trội). Trong đàn con nở ra, gà trống có kiểu gen Kk sẽ mọc lông cánh chậm, lông cánh sơ cấp hình kim; gà mái có kiểu gen kW sẽ mọc lông nhanh nên lông cánh sơ cấp có cờ trên chóp lông.
Cha kk (mọc lông nhanh) x Mẹ KW (mọc lông chậm)
Giao tử k K; W
Con: gà trống Kk (mọc lông chậm), gà mái kW (mọc lông nhanh)
Tốc độ mọc lông được xác định trên lông cánh của gà con mới nở và ở gà 10 ngày tuổi và lông đuôi. Gà mọc lông nhanh sẽ có lông đuôi ở lúc 10 ngày tuổi, gà mọc lông chậm thì đuôi chưa mọc lông (Richard và Malden, 1990).
d. Nhóm máu
Dựa vào dạng kháng nguyên trong hồng cầu Người ta chia tay ra làm 12 nhóm máu khác nhau ở gà. Các nhóm máu này có liên quan chặt với các tính trạng sản xuất như năng suất trứng cao, tỷ lệ chết thấp... Căn cứ vào đó mà Người ta tiến hành chọn lọc thông qua nhóm máu.
Phần II: Những Tính Trạng Số Lượng
Các tính trạng số lượng là những tính trạng có thể xác định được bằng những dụng cụ đo lường, thường là những chỉ tiêu kinh tế quan trọng nên được sử dụng để đánh giá phẩm chất giống. Những tính trạng số lượng do nhiều gen tương tác quy định nên có hệ số di truyền thấp, chịu ảnh hưởng nhiều bởi tác động của ngoại cảnh, vì vậy chúng có khoảng dao động lớn. Có nhiều gen cùng quy định một tính trạng số lượng, ví dụ như năng suất trứng. Khi muốn tăng số trứng đẻ ra từ 1 gà mái, tức là số gen quy định tính trạng đẻ nhiều ở gà mái đó phải ở dạng đồng hợp tử. Tuỳ theo số gen đồng hợp tử này nhiều hay ít mà số trứng đẻ ra nhiều hay ít. Như vậy trong 1 đàn, gà mái nào đẻ nhiều trứng có thể có số gen đồng hợp tử nhiều, khi cho phối những các thể này với nhau thì sẽ thu được những cá thể có nhiều đồng hợp tử trội và tính trạng đẻ nhiều cũng từng b ước được củng cố để có thể di truyền tính trạng này cho đời sau. Để cải thiện các chỉ tiêu số lượng thì phải tuyển chọn theo quần thể có số lượng cá thể lớn.
a. Sức đẻ trứng
Sức đẻ trứng là một tính trạng quan trọng trong chăn nuôi gia cầm, được đánh giá qua các chỉ tiêu: tỷ lệ đẻ, năng suất trứng bình quân và khối lượng trứng.
Sức đẻ trứng phụ thuộc vào tuổi thành thục sinh dục và nhiều yếu tố khác. Tuổi thành thục sinh dục là tuổi mà gà mái đẻ quả trứng đầu tiên, gà trống đạp mái có thể cho trứng thụ tinh. Tuổi thành thục sinh dục sớm hay muộn do yếu tố di truyền quy định. Nhiều ý kiến cho rằng một số gen ảnh hưởng đến tuổi đẻ trứng và có liên kết giới tính. Gà đẻ sớm thường có khả năng đẻ nhiều trứng, song nếu đẻ quá sớm, khi gà mái chưa đủ khối lượng nhất định thì trứng đẻ ra nhỏ, thời gian khai thác trứng ngắn. Tuổi đẻ trứng đầu phụ thuộc vào chế độ nuôi dưỡng và chăm sóc gà hậu bị. Gà hậu bị nuôi trong điều kiện chiếu sáng ít sẽ đẻ muộn hơn gà nuôi trong thời gian chiếu sáng dài.
Trong công tác giống nên chọn giống thành thục sớm, nhưng khi nuôi gà hậu bị phải tác động sao cho tuổi đẻ trứng phù hợp với sự phát triển cơ thể, đạt khối lượng nhất định để khi bắt đầu đẻ, gà vừa cho năng suất cao vừa đạt khối lượng trứng theo yêu cầu, thời gian khai thác trứng dài.
Những giống gà chuyên trứng thành thục sinh dục sớm hơn so với các giống kiêm dụng và chuyên thịt. Gà leghorn bắt đầu đẻ vào lúc 18 - 19 tuần tuổi trong khi gà plymouth bắt đầu đẻ lúc 22 - 23 tuần tuổi, gà hybro lúc 24 - 25 tuần.
Điều quan trọng là tuổi thành thục đồng thời của đàn giống. Đàn giống tốt khi 75% số gà mái cùng bắt đầu đẻ ở một thời điểm nhất định. Người ta có thể dự đoán tỷ lệ đẻ qua công thức (1) và khối lượng trứng qua công thức (2).
Y: Tỷ lệ (số đẻ trứng /100 mái /ngày)
X: Só tuần từ khi đẻ trứng đầu của quần thể
Hệ số a = 39,6; b = 0,3; c = 0,0035 (hướng trứng); 0,012 (hướng thịt); 0,004 (vịt, chim cút); d = - 0,03 (hướng trứng); - 0,08 (hướng thịt).
Công thức dự đoán khối lượng trứng
p = a (b x 0,9 x).(2)
Trong đó:
p: khối lượng trứng (g); x: số tuần đẻ
| Hệ số | Gà hướng trứng | Gà hướng thịt | Chim cút | Vịt | Ngỗng |
| a | 62 | 68,7 | 1 1,2 | 66,5 | 140 |
| b | 18 | 23 | 4 | 19 | 60 |
b. Tỷ lệ thụ tinh
Tỷ lệ thụ tinh được xác định bằng cách soi trứng sau 6 - 7 ngày ấp.
Trứng thụ tinh là trứng có phôi phát triển tốt, dưới đèn soi thấy hệ thống mạch máu lan khắp vỏ trứng, vỏ trứng ánh lên màu hồng. Trứng không thụ tinh dưới đèn thấy trứng sáng đều, còn gọi là trứng trong hoặc trứng sáng. Những trứng chết phôi sớm cho thấy hệ thống mạch máu bị đứt quãng, tạo những điểm tụ máu trong trứng, vỏ trứng màu trắng xám.
c. Tỷ lệ ấp nở
Tỷ lệ ấp nở có thể tính trên số trứng đẻ ra, số trứng đem ấp hay số trứng có phôi. Tỷ lệ này phụ thuộc vào rất nhiều yếu tố.
d. Tỷ lệ nuôi sống
Tỷ lệ nuôi sống là chỉ tiêu đánh giá sức sống và sự thích nghi của đàn gia cầm. Tỷ lệ nuôi sống được tính bằng tỷ số giữa số con cuối kỳ trên số con đầu kỳ.
e. Khối lượng cơ thể
Tầm vóc cơ thể được thể hiện bằng chỉ tiêu khối lượng cơ thể ở các lứa tuổi, quan trọng nhất là ở 6, 7 hoặc 8 tuần tuổi. Gia cầm chuyên thịt có tốc độ sinh trưởng cao, nhanh chóng đạt khối lượng có thể giết thịt.
f. Tốc độ sinh trưởng
Tốc độ sinh trưởng thể hiện qua mức tăng trọng bình quân hàng ngày (tăng trọng tuyệt đối), tỷ lệ tăng trọng so với khối lượng ban đầu (tăng trọng tương đối).
h. Các tính trạng khác
Các nhà khoa học đã xác định được hệ số di truyền của nhiều tính trạng số lượng quan trọng khác ở gia cầm, làm cơ sở quan trọng trong công tác chọn lọc và nhân giống.
Từ bảng 3.1. có thể thấy rằng các hệ số di truyền đã được tính cho phần lớn các tính trạng sản xuất quan trọng nhất.
Ngày nay, sản lượng trứng và khối lượng quả trứng được chú ý đặc biệt. Tính trạng đầu có hệ số di truyền thấp (30%) và tính trạng thứ 2 có hệ số di truyền cao. Nói chung, những tính trạng về sức đẻ trứng và sức sống có hệ số di truyền thấp. Những tính trạng liên quan đến sức sản xuất thịt của gà như khối lượng cơ thể, loại cấu trúc thân và tốc độ mọc lông có hệ số di truyền trung bình, từ 40 - 60%.
Kết quả quan trọng nhất của di truyền học quần thể là sự hoàn thiện các Phương pháp nhân giống trong công tác giống. Trong đó Phương pháp nhân giống theo dòng là cơ sở để hoàn thiện giống và tạo cơ sở cho các Phương pháp lai giống khác.
Bảng 3.1. Giá trị hệ số di truyền của một số tính trạng sản xuất của gà
(theo H. Brandsch, 1990 dẫn theo Nguyễn Chí Bảo, 1978)
| Tính trạng | Trị số trung bình (%) | Giớ hạn thay đổi (%) |
| Sức đẻ trứng: | ||
| - Số lượng trứng | 30 | 15 - 45 |
| - Số lượng trứng theo chỉ số sản xuất | 20 | 5 - 30 |
| - Số lượng trứng theo số trứng đẻ ra trong một trận đẻ của mùa đông | 30 | - |
| - Số lượng trứng theo toàn bộ Số trứng đẻ ra trong mùa đông | 35 | 20 - 50 |
| - Sự thành thục | 25 | 15 - 40 |
| - Cường độ đẻ trứng | 20 | - |
| - Nghỉ đẻ mùa đông | 10 | 5 - 10 |
| - Bản năng ấp trứng | 15 | - |
| - Khối lượng quả trứng | 60 | 45 - 80 |
| - Hình dạng quả trứng | 15 | 10 - 20 |
| Chất lượng vỏ trứng: | ||
| - Màu sắc | 60 | 55 - 75 |
| - Độ dày | 30 | - |
| - Độ bền | 40 | 30 - 55 |
| - Cấu trúc | 25 | - |
| Chất lượng bên trong của trứng: | ||
| - Khối lượng lòng trắng | 25 | 15 - 65 |
| - Chiều cao lòng trắng | 25 | 15 - 55 |
| - Màu sắc lòng đỏ | 15 | - |
| - Khối lượng lòng đỏ | 5 | 0 - 10 |
| - Vết máu | 40 | 42125 |
| - Vết thịt | 25 | - |
| - Tỷ lệ nở | 15 | 15 - 20 |
| - Sức sống | 10 | 5 - 10 |
| - Tỷ lệ gà con chết | 10 | 5 - 10 |
| Khối lượng cơ thể: | ||
| - Đến 12 tuần tuổi | 40 | 30 - 55 |
| - Đến 6 tháng | 45 | 40 - 50 |
| - Khối lượng cuối cùng | 60 | 55 - 65 |
| Cấu trúc thân: | ||
| - Rộng ngực | 25 | 20 - 30 |
| - Góc ngực | 40 | 30 - 45 |
| - Tốc độ mọc lông | 30 | 25 - 40 |
Kết quả nghiên cứu trong lĩnh vực di truyền học quần thể là cơ sở chọn giống và nhân giống theo ưu thế lai, tức là những biểu hiện tiến bộ của đời sau so với cả bố và mẹ về khả năng sản xuất, như sản lượng trứng, tốc độ sinh trưởng, sức sinh sản, tỷ lệ sống và các dấu hiệu khác. Mặc dù ưu thế lai đã được sử dụng rộng rãi trong sản xuất, nhưng việc đi sâu nghiên cứu, giải thích bản chất, cơ chế khoa học của hiện tượng này vẫn đang được rất nhiều nhà khoa học tiếp tục nghiên cứu.
Chọn giống định kỳ thuận nghịch trong chăn nuôi gia cầm cũng đang được áp dụng rộng rãi để tạo ra nhiều con lai tốt mà giảm chi phí cũng như thời gian tiến hành lai.
Lai chéo dòng cũng đang được sử dụng rộng rãi nhằm nâng cao những tính trạng sản xuất quan trọng của gia cầm. Mặt khác, nghiên cứu vấn đề này còn cho phép xét đoán được những tính trạng có hệ số di truyền thấp, trước tiên là sức đẻ trứng và sức sinh sản.
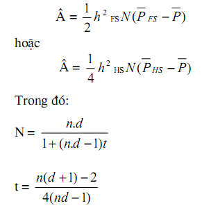
Một số nhà khoa học còn cho rằng trong tương lai có thể sử dụng những thành tựu của di truyền học miễn dịch trong việc xét đoán sức sản xuất của các con lai do lai chéo dòng.Một trong những tiến bộ quan trọng của công tác giống hiện nay là vấn đề sử dụng toán học vào công tác chọn lọc và đánh giá phẩm chất giống của gia súc, gia cầm. Chẳng hạn, để đánh giá giá trị di truyền đối với một tính trạng nhất định của một con vật, cũng như để dự tính khả năng truyền đạt năng suất về tính trạng đó cho đời sau, Người ta sử dụng khái niệm giá trị giống. Ký hiệu là Â. Có thể xác định được giá trị giống dựa trên các số liệu thu được của bản thân con vật:
R: hệ số lặp lại của tính trạng
PI: giá trị của tính trạng xác định được ở con vật (có thể là một số liệu hay là trung bình của m số liệu).
P: giá trị trung bình của quần thể về tính trạng đó.
Cũng có thể xác định được giá trị giống của gia cầm dựa trên số liệu xác định trên bố hoặc mẹ của nó.
Trong đó h2S, h2D là hệ số di truyền của tính trạng, Ps và PD là giá trị của tính trạng xác định được ở bố hoặc mẹ con vật.
Trong đó h2S, h2D là hệ số di truyền của tính trạng, Ps và PD là giá trị của tính trạng xác định được ở bố hoặc mẹ con vật.
Người ta cũng có thể tính được giá trị giống dựa trên số liệu của anh chị em ruột hoặc anh chị em cùng cha khác mẹ của con giống.
Khi có một số lượng anh chị em ruột hoặc cùng cha khác mẹ nhất định và mỗi chúng chỉ có một số liệu thì:
d- Số con cái phối giống với 1 con đực
n- Số anh chị em ruột trong 1 gia đình
PFS, PHS là giá trị của tính trạng xác định được ở anh chị em ruột hoặc cùng cha khác mẹ. P là giá trị trung bình tíng trạng của quần thể.
Ví dụ: có thể tính được giá trị giống về sản lượng trứng của một gà trống, biết sản lượng trứng trung bình của 24 gà mái là chị em cùng cha khác mẹ với nó là 230 quả/năm, trung bình đàn là 200 quả/năm, 24 gà mái này là con của 6 gà mẹ và hệ số di truyền của tính trạng này là h2=0,30.
Phần III: Một số gen đặc biệt được sử dụng trong công tác giống
Trong rất nhiều gen quy định khối lượng cơ thể, một số gen có ý nghĩa lớn trong công tác giống gia cầm như gen Cp gây ra sự phát triển không bình thường của mô sụn, gen td gây ra tình trạng hypothyroidism (nhược năng giáp trạng), gen dw gây giảm tầm vóc của gà trưởng thành. Các gen trên thường lặn và hiếm, tần số gặp rất thấp.
Gen Dw trội là tính trạng bình thường, gen lặn dw B gây còi nhẹ gọi là Bantam gen. Gen dw gây tính trạng còi nặng liên kết giới tính với nhiễm sắc thể Z, gen dw nằm giữa gen n gây thoái hoá gan và gen wl gây hiẹn tượng gà không có cánh, gen dw nằm gần gen s (lông trắng) hoặc gen S (lông vàng nâu). Gen dw được chú ý nhiều vì nó liên quan đến nhiều chức năng trao đổi chất, chức năng sinh lý, dinh dưỡng, tập tính và bệnh lý. Những ảnh hưởng của gen này có thể rất dễ dàng nghiên cứu khi trong đàn con mái có 50% con bị còi, nhỏ, còn 50% là gà mái bình thường. Tính trạng sẽ sớm xác định nếu có tiêm gen s (lông trắng) và gen k (mọc lông nhanh).
Gen dw có thể gặp ở hướng trứng cũng như ở hướng thịt. Tác dụng còi cọc không thể hiện ở khối lượng gà con mới nở mà xuất hiện như một quá trình tăng trọng thấp hơn so với bình thường. Ở gà trưởng thành, thể trọng gà mái giảm 50%, gà trống giảm 40%. Gà dw có mào phát triển hơn, tích mỡ nhiều hơn, năng suất trứng giảm khoảng 10% ở gà nhẹ cân, thành thục sinh dục chậm hơn 7 - 10 ngày nhưng tỷ lệ ấp nở cao hơn 5- 10%. Gà dw chịu nhiệt tốt, lượng glucose máu thấp do tăng tích luỹ glycogen, tích luỹ protein thấp nên quá trình dị hoá nhanh; trong tuyến yên tích luỹ 1 lượng hormon sinh trưởng không tiết ra được hoặc tiết ra ở dạng không hoạt động, điều này dẫn đến tăng tiêu tốn thức ăn cho tăng trọng, mẫn cảm với khẩu phần thiếu protein, đặc biệt là các axiTamin.
Gen dw thể hiện ở gà hướng trứng: giảm khối lượng cơ thể 15 - 25%, giảm khối lượng trứng, giảm sản lượng trứng 10%, mẫn cảm với lạnh và điều kiện chăm sóc kém, chịu nóng tốt. Có thể nuôi gà với mật độ cao hơn khoảng 30 - 35%.
Gen dw ở gà hướng thịt: giảm khối lượng cơ thể và khối lượng trứng, giảm mức tăng trọng và giảm thức ăn cho duy trì từ 15 - 30%. Khi lai với gà bình thường, Dw sẽ phục hồi tình trạng bình thường ở gà mái, chỉ còn 3% gà trố ng Dwdw còi.
Gen dw được sử dụng làm giảm thể trọng gà mái hướng thịt nhằm giảm tiêu tốn thức ăn để sản suất gà con. Gà mái dw đề kháng tốt với bệnh Leucosis nên có tỷ lệ nuôi sống cao hơn.
Gen chịu nóng tốt gồm có gen Na- (Naked neck) là gen trội không hoàn toàn, gây tính trạng trụi lông đầu và vùng cổ. Gà mang gen NaNa giảm 40% lông phủ, vùng da đầu và da cổ không có các gốc lông nên thường trụi. Gà Nana giảm 30% lông phủ, còn gà nana mọc lông bình thường.
Gà hướng thịt mang gen Na tăng sức chịu nóng, năng suất trứng cao, khi nuôi ở nhiệt độ cao 30°C vẫn giữ mức tăng trọng cao, chuyển hoá thức ăn tốt, tỷ lệ lông ít, sức sống cao, khoẻ mạnh, tỷ lệ nuôi sống cao hơn và tỷ lệ tật xấu (cannibalism) thấp hơn gà mang gen nana. Gà mang gen NaNa có thể trọng cao hơn và tiêu tốn thức ăn thấp hơn gà mang gen Nana.
Gà hướng trứng, gen Na tăng sức chịu nóng, năng suất trứng cao khi nuôi ở nhiệt độ cao, đẻ sớm hơn, trứng có khối lượng cao hơn, vỏ trứng dày và chắc hơn, tỷ lệ chết thấp hơn so với gà mang gen nana.
Gen F (Frizzle) gây lông quăn ra ngoài (gà lông x ước), làm giảm tính phủ của lông nên nhiệt sẽ dễ dàng toả ra.
Gen Na và gen F có mối tương tác chặt trong việc cải thiện năng suất trứng trong điều kiện nhiệt độ môi trường cao trên 30°C.
Receive articles via Email!










